H.S.C.
Differentiation EX 1.1 Q.1 Mathematics and statistic for arts and science
Maharashtra state board Mathematics arts and Science part 2
Differentiation
i)
Tags
Differentiation
Exercise 1.1
Solution Ex 1.1
Q.1)i)
$$
\begin{aligned}
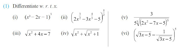
&\text { 1) } y=\left(x^{3}-2 x-1\right)^{5}\\
&\begin{array}{l}
\text { Diff w. } x \text { t. } x \\
\frac{d y}{d x} y=\frac{d}{d x}\left(x^{3}-2 x-1\right)^{5}\end{array} \\
&\frac{d y}{d x}=5\left(x^{3}-2 x-1\right)^{4} \cdot \frac{d}{d x}\left(x^{3}-2 x-1\right)\\
&=5\left(x^{3}-2 x-1\right)^{4}\left[\frac{d}{d x} x^{3}-\frac{d}{d x}(2 x)-\frac{d}{d x}(1)\right]\\
&=5\left(x^{3}-2 x-1\right)^{4}\left(3 x^{2}-2-0\right)\\
&=5\left(3 x^{2}-2\right)\left(x^{3}-2 x-1\right)^{4}
\end{aligned}
$$
ii) $$y=\left(2 x^{3 / 2}-3 x^{4 / 3}-5\right)^{\frac{5}{2}}\\
Diff w.r t x\\
\frac{d y}{d x}=\frac{d}{d x}\left(2 x^{3 / 2}-3 x^{4 / 3}-5\right)^{5 / 2}\\
=\frac{5}{2}\left(2 x^{3 / 2}-3 x^{4 / 3}-5\right)^{\frac{5}{2}-1} \cdot \frac{d}{d x}\left(2 x^{3 / 2}-3 x^{4 / 3}-5\right)\\
=\frac{5}{2}\left(2 x^{3 / 2}-3 x^{4 / 3}-5\right)^{3 / 2}\left(\frac{d}{d x} 2 x^{3 / 2}-\frac{d}{d x} 3 \cdot x^{4 / 3}-\frac{d}{d x} 5\right)\\
=\frac{5}{2}\left(2 x^{3 / 2}-3 x^{4 / 3}-5\right)^{\frac{3}{2}} \cdot\left(2 . \frac{3}{2} x^{\frac{3}{2}-1}-3.\frac{4}{3} \cdot x^{\frac{4}{3}-1}-0\right)\\
=\frac{5}{2}\left(2 x^{3 / 2}-3 x^{4 / 3}-5\right)^{\frac{3}{2}} \cdot\left(3 x^{\frac{1}{2}} \cdot 4 x^{\frac{1}{3}}\right)\\
=\frac{5}{2}(3 \sqrt{x}-4 \sqrt[3]{x})\left(2 x^{3 / 2}-3 x^{4 / 3}-5\right)^{3 / 2}\\$$
iii) $$y=\sqrt{x^{2}+4 x-7} \quad\left[\sqrt{x}=\frac{1}{2 \sqrt{x}}\right.\\
Diff. \omega \cdot r \cdot t \cdot x\\
\frac{d y}{d x}=\frac{1}{2 \sqrt{x^{2}+4 x-7}} \cdot \frac{d}{d x}\left(x^{2}+4 x-7\right)\\
=\frac{1}{2 \sqrt{x^{2}+4 x-7}}\left(\frac{d}{d x} x^{2}+\frac{d}{d x} 4 x-\frac{d}{d x} 7\right)\\
=\frac{1}{2 \sqrt{x^{2}+4 x-7}} \cdot(2 x+1-0)\\
=\frac{2(x+2)}{2 \sqrt{x^{2}+4 x-7}}\\
=\frac{(x+2)}{\sqrt{x^{2}+4 x-7}}\\$$
iv)$$y=\sqrt{x^{2}+\sqrt{x^{2}+1}}\\
Diff wrt \quad x\\
\frac{d y}{d x}=\frac{d}{d x}(\sqrt{x^{2}+\sqrt{x^{2}+1}})\\
=\frac{1}{2 \sqrt{x^{2}+\sqrt{x^{2}+1}}} \cdot \frac{d}{d x}\left(x^{2}+\sqrt{x^{2}+1}\right)\\
=\frac{1}{2 \sqrt{x^{2}+\sqrt{x^{2}+1}}} \cdot\left[\frac{d}{d x} x^{2}+\frac{d}{d x} \sqrt{x^{2}+1}\right]\\
=\frac{1}{2 \sqrt{x^{2}+\sqrt{x^{2}+1}}} \cdot\left[2 x+\frac{1}{2 \sqrt{x^{2}+1}} \frac{d}{d x}\left(x^{2}+1\right)\right]\\
=\frac{1}{2 \sqrt{x^{2}+\sqrt{x^{2}+1}}}\left[2 x+\frac{1}{2\sqrt{x^{2}+1}} 2x\right]\\
=\frac{1}{2 \sqrt{x^{2}+\sqrt{x^{2}+1}}} \cdot\left[2 x+\frac{x}{\sqrt{x^{2}+1}}\right]\\$$
v) $$y=\frac{3}{\quad 5 \sqrt[3]{2 x^{2}-7 x-5})^{5}}\\
y=\frac{3}{5\left(2 x^{2}-7 x-5\right)^{5 / 3}}\\
y=\frac{3}{5}\left(2 x^{2}-7 x-5\right)^{-5 / 3}\\
Diff w.r.t.\quad x\\
\frac{d y}{d x}=\frac{3}{5} \cdot \frac{d}{d x}\left(2 x^{2}-7 x-5\right)^{-\frac{5}{3}}\\
=\frac{3}{5} \left(\frac{-5}{3}\right) \cdot\left(2 x^{2}-7 x-5\right)^{-\frac{5}{3}-1} \times\frac{d}{d x}\left(2 x^{2}-7 x-5\right)\\
=(-1)\left(2 x^{2}-7 x-5\right)^{-\frac{8}{3}}\times\left(\frac{d}{d x} 2 x^{2}-\frac{d}{d x}(7 x)-\frac{d}{d x} 5\right)\\
=(-1)\left(2 x^{2}-7 x-5\right)^{-8 / 3}(4 x-7)\\
=\frac{-(4 x-7)}{\left(2 x^{2}-7 x-5\right)^{8 / 3}}\\$$
vi)$$y=\left[\sqrt{3 x-5}-\frac{1}{\sqrt{3 x-5}}\right]^{5}\\
Diff wrt x\\
\frac{d y}{d x}=\frac{d}{d x}\left(\sqrt{3 x-5}-\frac{1}{\sqrt{3 x-5}}\right)^{5}\\
=5 \cdot\left(\sqrt{3 x-5}-\frac{1}{\sqrt{3 x-5}}\right)^{4} \cdot \frac{d}{d x}\left[\sqrt{3 x-5}-\frac{1}{\sqrt{3 x-5}}\right]\\
=5\left(\sqrt{3 x-5}-\frac{1}{\sqrt{3 x-5}}\right)^{4}\left[\frac{d}{d x} \sqrt{3 x-5}-\frac{d}{d x}(3 x-5)^\frac{-1}{2}\right]\\
=5\left(\sqrt{3 x-5}-\frac{1}{\sqrt{3 x-5}}\right)^{4}\left[\frac{1}{2 \sqrt{3 x-5}} \times \frac{d}{d x}(3 x-5)+\right.\frac{1}{2}(3 x-5)^{-\frac{1}{2}-1})\times\frac{d}{d x}(3 x-5)]\\
=5\left(\sqrt{3 x-5}-\frac{1}{\sqrt{3 x-5}}\right)^{4}\times\left[\frac{3}{2 \sqrt{3 x-5}} +\frac{(3 x-3)^{-3 / 2}}{2}.3\right]\\
=5\left(\sqrt{3 x-5}-\frac{1}{\sqrt{3 x-5}}\right)^{4}\times\left[\frac{3}{2 \sqrt{3 x-5}}+\frac{3}{2 \sqrt{(3 x-1)^{3}}}\right]\\
=5\left(\sqrt{3 x-5}-\frac{1}{\sqrt{3 x-5}}\right)^{4}\left[\frac{3}{2 \sqrt{3 x-5}}\left(1+\frac{1}{\sqrt{(3 x-5)^{2}})}\right)\right]\\
=5\left(\sqrt{3 x-5}-\frac{1}{\sqrt{3 x-5}}\right)^{4}\left[\frac{3}{2 \sqrt{3 x-5}}\left(1+\frac{1}{{(3 x-5)}}\right)\right]\\
5\left(\sqrt{3 x-5}-\frac{1}{\sqrt{3 x-5}}\right)^{4} \times \frac{3}{2 \sqrt{3 x-5}}\left(\frac{3 x-5+1}{3 x-5}\right)\\
5\left(\sqrt{3 x-5}-\frac{1}{\sqrt{3 x-5}}\right)^{4}+\frac{3(3 x-4)}{2(3 x-5)^{1 / 2}(3 x-5)}\\
5\left(\sqrt{3 x-5}-\frac{1}{\sqrt{3 x-5}}\right)^{4} \times \frac{3(3 x-4)}{2(3 x-5)^{3 / 2}}\\
\frac{15(3 x-4)}{{2(3 x-5)^{3 / 2}}}\left(\sqrt{3 x-5}-\frac{1}{\sqrt{3 x-5}}\right)^{4}\\$$
Tags
Maharashtra state Board Hsc
Maharashtra state Board class 12
Maharashtra SYJC
HSC new Syllabus digest
Hsc New Syllabus Guide
Hsc Mathematics exercise Solution
class 12 Hsc Mathematics exercise Solution
Maharashtra state board class 12 Mathematics exercise Solution
Differentiation Exercise Solution
Navneet Digest Solution
Maharashtra State Board 12th Maths Book Solutions
Maharashtra State Board 12th Maths Book exercise Solutions
Maharashtra State Board 12th Maths textbook Solutions
Maharashtra State Board 12th Maths textbook exercise Solutions
Maharashtra State Board 12th Mathematics Book Solutions
Maharashtra State Board 12th Mathematics Book exercise Solutions
Maharashtra State Board 12th Mathematics textbook Solutions
Maharashtra State Board 12th Mathematics textbook exercise Solutions
Maharashtra State Board HSC 12th Mathematics Book Solutions
Maharashtra State Board HSC 12th Mathematics Book exercise Solutions
Maharashtra State Board HSC 12th Mathematics textbook Solutions
Maharashtra State Board HSC 12th Mathematics textbook exercise Solutions
Mathematics Part - II (Solutions) Textbook Solutions for MAHARASHTRA Class 12 MATH, Mathematics Part - II (Solutions) Textbook Solutions for MAHARASHTRA Class 12 MATH,
Maharashtra State Board 12th Maths Book Solutions
Maharashtra State Board 12th Maths Book exercise Solutions
Maharashtra State Board 12th Maths textbook Solutions
Maharashtra State Board 12th Maths textbook exercise Solutions
Maharashtra State Board 12th Mathematics Book Solutions
Maharashtra State Board 12th Mathematics Book exercise Solutions
Maharashtra State Board 12th Mathematics textbook Solutions
Maharashtra State Board 12th Mathematics textbook exercise Solutions
Maharashtra State Board HSC 12th Mathematics Book Solutions
Maharashtra State Board HSC 12th Mathematics Book exercise Solutions
Maharashtra State Board HSC 12th Mathematics textbook Solutions
Maharashtra State Board HSC 12th Mathematics textbook exercise Solutions
Mathematics Part - II (Solutions) Textbook Solutions for MAHARASHTRA Class 12 MATH, Mathematics Part - II (Solutions) Textbook Solutions for MAHARASHTRA Class 12 MATH,
Maharashtra State Board HSC 12th Mathematics Book exercise 1.1 differentiation Solutions 2021 new
Maharashtra State Board HSC 12th Mathematics Book exercise 1.1 differentiation Solutions 2021 new Solutions
Maharashtra State Board HSC 12th Mathematics textbook exercise 1.1 differentiation Solutions 2021 new
Maharashtra State Board HSC 12th Mathematics textbook exercise 1.1 differentiation Solutions 2021 new
Maharashtra State Board HSC 12th Mathematics Book exercise 1.1 differentiation Solutions 2021 new Solutions
Maharashtra State Board HSC 12th Mathematics textbook exercise 1.1 differentiation Solutions 2021 new
Maharashtra State Board HSC 12th Mathematics textbook exercise 1.1 differentiation Solutions 2021 new